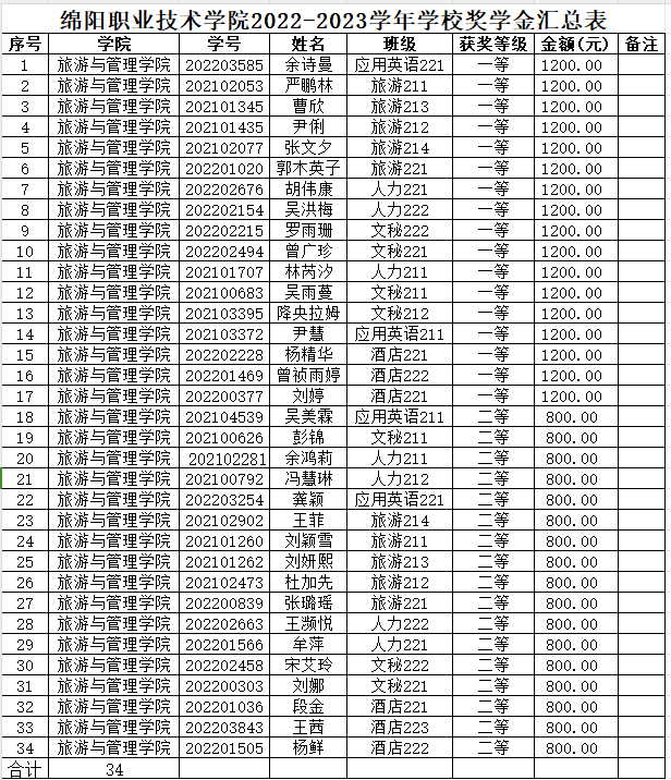
根据《PA视讯平台关于修订印发员工奖助学金有关规章制度的通知》(绵职院发〔2022〕42号)文件精神,结合公司实际,经公司公司奖学金认定工作组评审,现将2022—2023学年公司奖学金名单公示见附表(PA视讯2022-2023学年PA视讯平台公司奖学金公示表)。
院内师生如对公示对象有意见,可通过来电或来访等形式,向公司认定工作组反映。
举报电话:0816-2781920
地 址:材料大楼201(旅游与管理公司党总支副书记办公室)
公示日期:2023年9月14日至2023年9月18日(三个工作日)
PA视讯平台PA视讯
2022年9月14日
